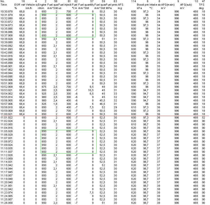
А это одна и та же машина (кусок непрерывного лога во времени), но при скидывании фишки с клапана ЕГР...
Красная линия - это момент, когда сняли фишку, в зеленых квадратах - параметры впрыска.
Как мы видим что содержание зеленых квадратов идентично, а именно
предварительный впрыск составляет 2 кубических миллиметра, его угол от основного впрыска составляет 600 us, сам основной впрыск имеет объем 8 кубических миллиметров и впрыскивается в момент колена равному 7 градусов до ВМТ (верхней мертвой точки)
Трудность еще в том, что владелец пользуется климатом и время от времени включался кондиционер
Объем основного впрыска равен всего 8-ми мм3, это означает что машина была в паркинге. На драйве (режим ''D") объем основного впрыска немного больше и предварительный впрыск также немного больше из-за этого...
----------
Я категорически не понимаю, почему до скидывании фишки ЕГР, параметр AFS (датчик МАФ) показывал 600 миллиграмм на оборот коленвала, а после скидывании фишки 620 миллиграмм.
Разница работающей ЕГР и не работающей - всего 20 миллиграмм.
Кто нибудь может пояснить - почему так мало??????????
У меня при работающей ЕГР МАФ показывал 25 кг/ч, а при неработающей - 50 кг/ч. Практически в два раза разницы, а тут всего доли процента....
