Dizel Man писал(а): ↑
И пофиг, какое больше, а какое меньше...
Ну-ну...
Закон Ома- сильная штука, но нужно уметь его применять... Как палкой им нельзя размахивать.
Сергей (давай на "ТЫ"

!),
ты не учитываешь, что между сопротивлениями находятся источники тока.
Ели бы АКБ питала что-нить типа светодиодов, вопросов бы не возникало,
можно б было и последовательно все сопротивления так и посчитать.
Но, нагрузка= стартер - очень мощная, и когда внутреннее сопротивление возрастает
до соизмерных с нагрузкой значений, процессы идут иные.
Но закон Ома работает и здесь.
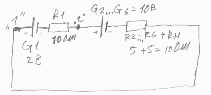
Я тут накидал условный примерчик с расчётами.
Для удобства определился так:
напряжение каждой банки принял за 2В;
сопротивление нагрузки (стартер) принял Rн = 5 Ом.
Хотя это не правда, но просто удобнее считать, т.к. нам важна
соизмерность (пропорции) сопротивлений и потенциалов.
С запятыми связываться неохота , а разницы в расчётах никакой нет.
Остальные номиналы тоже условные- без запятых.
Итак, примем, что у нормальных банок (G2 - G6) Rвнутр.= 1 Ом ,
а одной банки G1 внутреннее сопротивление стало больше в 10 раз, т.е. R1 = 10 Ом.
Т.к. у банок G2 - G6 всё одинаково, можно действительно упростить,
сплюсовав все напряжения и все сопротивления, а так же приплюсовав к ним же Rн.
Схема упростится до такой:
Обрати внимание на точки "1" и "2", это выводы банки G1 (на всяк случай).
И для более полного понимания, что произошло,
я перерисую схему вот так:
Что получилось...
Сопротивления и там, и тут одинаковые,
НО банка G1 получается включена в обратной полярности по отношению к банкам G2 - G6 .
2В против 10В- куда потечёт ток, думаю видно...
Как правило дохлые банки и так-то на ладан дышат, поэтому противостоять обратной полярности они не могут,
поэтому так и перезаряжаются в обратную сторону под нагрузкой.
Ловкость рук, и никакого мошенничества!
