Кондиционер, испаритель, вентилятор - все что с этим связано
Модераторы: SNOOPER, Nbf, drcham, алексей - Маленький Мук, Romik, BAlex
- atas80
- Сообщения: 2880
- Зарегистрирован: 21 янв 2009, 19:38
- Двигатель:: 4M40
- Мой автомобиль(и):: Pajero 2 46 ATF
- Откуда: Киров
- Откуда: Kirov [43]
- Благодарил (а): 7 раз
- Поблагодарили: 73 раза
Re: Кондиционер, испаритель, вентилятор - все что с этим свя
Не знаю как у вас, а у нас если делать все в одном месте, то за фреон и масло не платишь. Они как-то это себе обратно закачивают если систему разгерметезируют сами. Выявляется он просто. Отключаешь задний кондей кнопкой. Если давление высокое, а холода нет - значит он. По идеи правильные кондиционерщик должен сам это понять.
Mitsubishi PAJERO-II | 1995 | 4M40 | V46W | АКПП | GLS
Я горд за РОССИЙСКУЮ ИМПЕРИЮ - мы можем управлять "белым домом" и сажать своих людей в "овальный кабинет" !!!
Я горд за РОССИЙСКУЮ ИМПЕРИЮ - мы можем управлять "белым домом" и сажать своих людей в "овальный кабинет" !!!
-
tony13
- Сообщения: 26
- Зарегистрирован: 17 окт 2016, 07:29
- Двигатель:: 4m40
- Мой автомобиль(и):: Pajero 2/94г.в.
- Откуда: Астана
- Благодарил (а): 5 раз
Re: Кондиционер, испаритель, вентилятор - все что с этим свя
У нас проблема с любым сервисом, есть одна контора которая климатом занимается но к ним попасть сложно ибо работают только в рабочие дни, а остальные только заправляют и то хорошо если аппарат есть а не просто с баллона без весов и опрессовки делают.atas80 писал(а):Не знаю как у вас, а у нас если делать все в одном месте, то за фреон и масло не платишь. Они как-то это себе обратно закачивают если систему разгерметезируют сами. Выявляется он просто. Отключаешь задний кондей кнопкой. Если давление высокое, а холода нет - значит он. По идеи правильные кондиционерщик должен сам это понять.
Поэтому со всеми проблемами приходится самому вникать читать и спрашивать тут. Спасибо за советы!
- atas80
- Сообщения: 2880
- Зарегистрирован: 21 янв 2009, 19:38
- Двигатель:: 4M40
- Мой автомобиль(и):: Pajero 2 46 ATF
- Откуда: Киров
- Откуда: Kirov [43]
- Благодарил (а): 7 раз
- Поблагодарили: 73 раза
Re: Кондиционер, испаритель, вентилятор - все что с этим свя
Сочувствую... Но странно, в таком теплом регионе их должно быть как говна за баней...
Mitsubishi PAJERO-II | 1995 | 4M40 | V46W | АКПП | GLS
Я горд за РОССИЙСКУЮ ИМПЕРИЮ - мы можем управлять "белым домом" и сажать своих людей в "овальный кабинет" !!!
Я горд за РОССИЙСКУЮ ИМПЕРИЮ - мы можем управлять "белым домом" и сажать своих людей в "овальный кабинет" !!!
-
tony13
- Сообщения: 26
- Зарегистрирован: 17 окт 2016, 07:29
- Двигатель:: 4m40
- Мой автомобиль(и):: Pajero 2/94г.в.
- Откуда: Астана
- Благодарил (а): 5 раз
Re: Кондиционер, испаритель, вентилятор - все что с этим свя
У нас лето короткое а зима длинная и холодная, теплый регион это у нас Алмата там все есть с нормальным сервисом.
- SELENGER
- Сообщения: 3076
- Зарегистрирован: 26 янв 2016, 14:57
- Двигатель:: 6G72
- Мой автомобиль(и):: Mitsubishi Pajero 2
- Откуда: Новороссийск
- Откуда: Новороссийск
- Благодарил (а): 69 раз
- Поблагодарили: 124 раза
- Контактная информация:
Re: Кондиционер, испаритель, вентилятор - все что с этим свя
Ребят у меня такой вопрос : Возможно ли на короткий П2 араб установить фильтр салона (угольный конечно) ? И еще вопрос , возможно ли промыть радиатор кондиционера и воздуховоды ?
Суть проблемы такая , при работе кондиционера есть некий запашек , непонятно чего , то ли сырости , то ли прелости ... Был в детстве такой запашек от старых холодильников ... Вот мой похож на него .
И второй момент , в салоне много пыли ( Запарился ее вычищать кисточкой с воздуховодов.
Кондюк работает исправно , холодит так что очень холодно становится ))) В бардачке кстати то же холодильник некислый образоввывается )))
Суть проблемы такая , при работе кондиционера есть некий запашек , непонятно чего , то ли сырости , то ли прелости ... Был в детстве такой запашек от старых холодильников ... Вот мой похож на него .
И второй момент , в салоне много пыли ( Запарился ее вычищать кисточкой с воздуховодов.
Кондюк работает исправно , холодит так что очень холодно становится ))) В бардачке кстати то же холодильник некислый образоввывается )))
П2, Араб, Коротыш , 2000 год , 2й месяц , 6G72 12V , МКПП , Суперселект , 32 COMFORSER CF1100 , RUNVA-9500 EWB , BILSTEIN B6 OFFROAD
- Deem-On
- Сообщения: 1014
- Зарегистрирован: 18 мар 2011, 17:49
- Двигатель:: 4M40
- Мой автомобиль(и):: Паджеро 2, был
- Откуда: Ярославль
- Благодарил (а): 8 раз
- Поблагодарили: 95 раз
Re: Кондиционер, испаритель, вентилятор - все что с этим свя
Вот здесь: http://pajero4x4.ru/bbs/phpBB2/viewtopi ... =1&t=55087 , на первой странице, все по пунктам расписано: п.3 и п.13 ссылки про дезинфекцию, на стр.3 про чистку.SELENGER писал(а): И еще вопрос , возможно ли промыть радиатор кондиционера и воздуховоды ?
Суть проблемы такая , при работе кондиционера есть некий запашек , непонятно чего , то ли сырости , то ли прелости ... Был в детстве такой запашек от старых холодильников ... Вот мой похож на него .
А про фильтр в П2 была тема отдельная, там все разъяснено давно, что и как , и номера фильтров есть, простых и угольных. И насколько я помню, ты в той теме тоже отметился, так что вэлком в поиск.SELENGER писал(а): Возможно ли на короткий П2 араб установить фильтр салона (угольный конечно)
П-2 1994 длинный,GLS,4М40,АКПП,SS,А/Т32"-увы, уже донор
- SELENGER
- Сообщения: 3076
- Зарегистрирован: 26 янв 2016, 14:57
- Двигатель:: 6G72
- Мой автомобиль(и):: Mitsubishi Pajero 2
- Откуда: Новороссийск
- Откуда: Новороссийск
- Благодарил (а): 69 раз
- Поблагодарили: 124 раза
- Контактная информация:
Re: Кондиционер, испаритель, вентилятор - все что с этим свя
Спасибо за наводку ))) Буду заниматься кондюком своим .
Про фильтр то же где то читал , но уже не помню где , Вещь в общем нужная на самом деле . Раньше как то и не обращал внимание на это .
Про фильтр то же где то читал , но уже не помню где , Вещь в общем нужная на самом деле . Раньше как то и не обращал внимание на это .
П2, Араб, Коротыш , 2000 год , 2й месяц , 6G72 12V , МКПП , Суперселект , 32 COMFORSER CF1100 , RUNVA-9500 EWB , BILSTEIN B6 OFFROAD
-
valdod
- Сообщения: 164
- Зарегистрирован: 02 янв 2015, 20:04
- Двигатель:: 6G72 24 кл.
- Мой автомобиль(и):: Паджеро 2 1995 г.в.
- Откуда: Одесса
- Благодарил (а): 6 раз
- Поблагодарили: 7 раз
Re: Кондиционер, испаритель, вентилятор - все что с этим свя
Ну так в своем профиле по своим же сообщениям можно найти...SELENGER писал(а): Про фильтр то же где то читал , но уже не помню где
http://www.pajero4x4.ru/bbs/phpBB2/view ... &start=240
- SELENGER
- Сообщения: 3076
- Зарегистрирован: 26 янв 2016, 14:57
- Двигатель:: 6G72
- Мой автомобиль(и):: Mitsubishi Pajero 2
- Откуда: Новороссийск
- Откуда: Новороссийск
- Благодарил (а): 69 раз
- Поблагодарили: 124 раза
- Контактная информация:
Re: Кондиционер, испаритель, вентилятор - все что с этим свя
Спасибо ! Заказал уже ! Угольный )valdod писал(а):Ну так в своем профиле по своим же сообщениям можно найти...SELENGER писал(а): Про фильтр то же где то читал , но уже не помню где
http://www.pajero4x4.ru/bbs/phpBB2/view ... &start=240
П2, Араб, Коротыш , 2000 год , 2й месяц , 6G72 12V , МКПП , Суперселект , 32 COMFORSER CF1100 , RUNVA-9500 EWB , BILSTEIN B6 OFFROAD
- IIpuzpak
- Сообщения: 99
- Зарегистрирован: 07 апр 2017, 12:01
- Двигатель:: 6G72 Бензин
- Мой автомобиль(и):: PAJERO 3, 3 литра, АКПП, 6G72. АРАБ
- Откуда: ДЗЕРЖИНСК
Re: Кондиционер, испаритель, вентилятор - все что с этим свя
Всем привет!
Заказал себе такой угольный, вырезал заглушку , как на фотках, встал , как родной, спасибо!!!
Такой вопрос, у меня климат, передний холодит до 8 гр. , задний не хочет холодить , карлсоны работают, где то читал, сейчас не могу найти, вроде какой то клапан должен стоять на задний, или я ошибаюсь???
Заказал себе такой угольный, вырезал заглушку , как на фотках, встал , как родной, спасибо!!!
Такой вопрос, у меня климат, передний холодит до 8 гр. , задний не хочет холодить , карлсоны работают, где то читал, сейчас не могу найти, вроде какой то клапан должен стоять на задний, или я ошибаюсь???
- IIpuzpak
- Сообщения: 99
- Зарегистрирован: 07 апр 2017, 12:01
- Двигатель:: 6G72 Бензин
- Мой автомобиль(и):: PAJERO 3, 3 литра, АКПП, 6G72. АРАБ
- Откуда: ДЗЕРЖИНСК
Re: Кондиционер, испаритель, вентилятор - все что с этим свя
Может кому надо, на П2 салонный фильтр угольный.
Cakura CAC-10130
Vic AC-304EX
Vik вроде по лучше говорят.
Cakura CAC-10130
Vic AC-304EX
Vik вроде по лучше говорят.
- SELENGER
- Сообщения: 3076
- Зарегистрирован: 26 янв 2016, 14:57
- Двигатель:: 6G72
- Мой автомобиль(и):: Mitsubishi Pajero 2
- Откуда: Новороссийск
- Откуда: Новороссийск
- Благодарил (а): 69 раз
- Поблагодарили: 124 раза
- Контактная информация:
Re: Кондиционер, испаритель, вентилятор - все что с этим свя
А чем от Патриота не устраивает угольный ?IIpuzpak писал(а):Может кому надо, на П2 салонный фильтр угольный.
Cakura CAC-10130
Vic AC-304EX
Vik вроде по лучше говорят.
П2, Араб, Коротыш , 2000 год , 2й месяц , 6G72 12V , МКПП , Суперселект , 32 COMFORSER CF1100 , RUNVA-9500 EWB , BILSTEIN B6 OFFROAD
- IIpuzpak
- Сообщения: 99
- Зарегистрирован: 07 апр 2017, 12:01
- Двигатель:: 6G72 Бензин
- Мой автомобиль(и):: PAJERO 3, 3 литра, АКПП, 6G72. АРАБ
- Откуда: ДЗЕРЖИНСК
Re: Кондиционер, испаритель, вентилятор - все что с этим свя
Просто у меня спросили какой на П2.
Какой на патриоте не знаю.
Какой на патриоте не знаю.
- Unklown
- Сообщения: 2672
- Зарегистрирован: 18 дек 2012, 05:48
- Двигатель:: 6G74, SOHC бензин, газ
- Мой автомобиль(и):: MONTERO SPORT[K99W ] [GRXEL2M ]
- Откуда: Алтай
- Благодарил (а): 4 раза
- Поблагодарили: 101 раз
Re: Кондиционер, испаритель, вентилятор - все что с этим свя
на п2 нет никаковаIIpuzpak писал(а):Просто у меня спросили какой на П2.
здорово подходит с патрика
- SELENGER
- Сообщения: 3076
- Зарегистрирован: 26 янв 2016, 14:57
- Двигатель:: 6G72
- Мой автомобиль(и):: Mitsubishi Pajero 2
- Откуда: Новороссийск
- Откуда: Новороссийск
- Благодарил (а): 69 раз
- Поблагодарили: 124 раза
- Контактная информация:
Re: Кондиционер, испаритель, вентилятор - все что с этим свя
В точку .
з.ы катаюсь с фильтром кстати , ничего не свистит , дует хорошо , интересно как он там поживает ?! сильно будет грязный после лета ?!
з.ы катаюсь с фильтром кстати , ничего не свистит , дует хорошо , интересно как он там поживает ?! сильно будет грязный после лета ?!
П2, Араб, Коротыш , 2000 год , 2й месяц , 6G72 12V , МКПП , Суперселект , 32 COMFORSER CF1100 , RUNVA-9500 EWB , BILSTEIN B6 OFFROAD
-
tony13
- Сообщения: 26
- Зарегистрирован: 17 окт 2016, 07:29
- Двигатель:: 4m40
- Мой автомобиль(и):: Pajero 2/94г.в.
- Откуда: Астана
- Благодарил (а): 5 раз
Re: Кондиционер, испаритель, вентилятор - все что с этим свя
Добрый день! Клапан по данному номеру подходит без переделок?atas80 писал(а):У меня именно такие проблемы и были. Не холодит, давление не падает - заменил и все прошло.
Себе брал вот этот - Delphi TSP0585049 - заменил, заправил и сразу все заработало.
ЗЫ: А что с обычным термостатом бывает не так ? Тоже самое и с этим, только тут все наоборот. Там внутри иголка перекрывает канал. Годы.
ЗЫ2: Он регулируется, но без оборудования его не отрегулировать - пробовали плюс минус 1/4 оборота в обе стороны - результата не дало. Решено было менять. Хотя в купе еще и фильтр-осушитель меняли, но более склонялись к клапану.
- atas80
- Сообщения: 2880
- Зарегистрирован: 21 янв 2009, 19:38
- Двигатель:: 4M40
- Мой автомобиль(и):: Pajero 2 46 ATF
- Откуда: Киров
- Откуда: Kirov [43]
- Благодарил (а): 7 раз
- Поблагодарили: 73 раза
Re: Кондиционер, испаритель, вентилятор - все что с этим свя
Да, ничего не переделывал: открутил -> прикрутил...
Mitsubishi PAJERO-II | 1995 | 4M40 | V46W | АКПП | GLS
Я горд за РОССИЙСКУЮ ИМПЕРИЮ - мы можем управлять "белым домом" и сажать своих людей в "овальный кабинет" !!!
Я горд за РОССИЙСКУЮ ИМПЕРИЮ - мы можем управлять "белым домом" и сажать своих людей в "овальный кабинет" !!!
- SELENGER
- Сообщения: 3076
- Зарегистрирован: 26 янв 2016, 14:57
- Двигатель:: 6G72
- Мой автомобиль(и):: Mitsubishi Pajero 2
- Откуда: Новороссийск
- Откуда: Новороссийск
- Благодарил (а): 69 раз
- Поблагодарили: 124 раза
- Контактная информация:
Re: Кондиционер, испаритель, вентилятор - все что с этим свя
Всем привет !
Назрел такой у меня вопрос : хочу для себя заморочиться заправкой / дозаправкой кондиционера , промывкой системы , заменой масла , опрессовкой и т д .
Аппарат на работе есть . С чего начать ? Какой хладагент используется в наших машинках ? Какое его количество ? у меня кондюк только спереди.
Машина П2 рестайл коротыш , Араб , кондюк работает .
Назрел такой у меня вопрос : хочу для себя заморочиться заправкой / дозаправкой кондиционера , промывкой системы , заменой масла , опрессовкой и т д .
Аппарат на работе есть . С чего начать ? Какой хладагент используется в наших машинках ? Какое его количество ? у меня кондюк только спереди.
Машина П2 рестайл коротыш , Араб , кондюк работает .
П2, Араб, Коротыш , 2000 год , 2й месяц , 6G72 12V , МКПП , Суперселект , 32 COMFORSER CF1100 , RUNVA-9500 EWB , BILSTEIN B6 OFFROAD
- atas80
- Сообщения: 2880
- Зарегистрирован: 21 янв 2009, 19:38
- Двигатель:: 4M40
- Мой автомобиль(и):: Pajero 2 46 ATF
- Откуда: Киров
- Откуда: Kirov [43]
- Благодарил (а): 7 раз
- Поблагодарили: 73 раза
Re: Кондиционер, испаритель, вентилятор - все что с этим свя
Шли email - пришлю PDF файл
Mitsubishi PAJERO-II | 1995 | 4M40 | V46W | АКПП | GLS
Я горд за РОССИЙСКУЮ ИМПЕРИЮ - мы можем управлять "белым домом" и сажать своих людей в "овальный кабинет" !!!
Я горд за РОССИЙСКУЮ ИМПЕРИЮ - мы можем управлять "белым домом" и сажать своих людей в "овальный кабинет" !!!
- SELENGER
- Сообщения: 3076
- Зарегистрирован: 26 янв 2016, 14:57
- Двигатель:: 6G72
- Мой автомобиль(и):: Mitsubishi Pajero 2
- Откуда: Новороссийск
- Откуда: Новороссийск
- Благодарил (а): 69 раз
- Поблагодарили: 124 раза
- Контактная информация:
Re: Кондиционер, испаритель, вентилятор - все что с этим свя
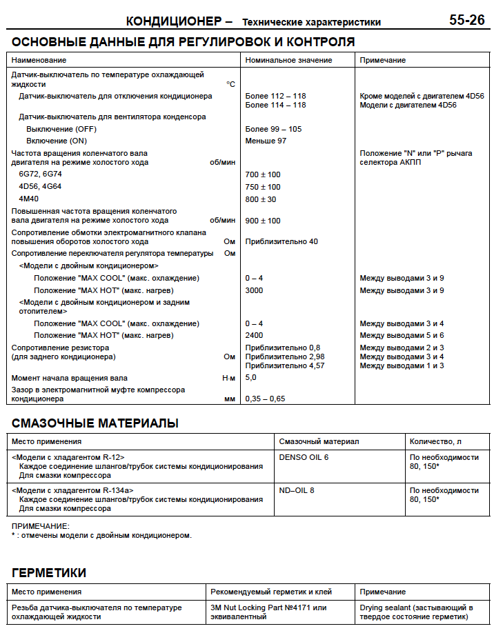
Спасибо за таблицы !
Но как узнать какой у меня сейчас там хладагент ?
почта мой ник @rambler.ru
Но как узнать какой у меня сейчас там хладагент ?
почта мой ник @rambler.ru
П2, Араб, Коротыш , 2000 год , 2й месяц , 6G72 12V , МКПП , Суперселект , 32 COMFORSER CF1100 , RUNVA-9500 EWB , BILSTEIN B6 OFFROAD
